扇贝具有超富集镉的特性,其对镉的蓄积及其食用安全评估研究一直是水产品质量安全研究领域的关注重点。中国水产科学研究院黄海水产研究所水产品质量与安全研究室对扇贝的重金属蓄积规律进行研究,并率先运用体外仿生消化模型结合镉的形态分析技术研究揭示了扇贝不同组织中镉的生物可给性及其形态转化规律。相关研究成果发表在JCR一区国际期刊Marine Pollution Bulletin和Food Chemistry。黄海水产研究所赵艳芳为2篇论文的第一作者,谭志军研究员为通讯作者。
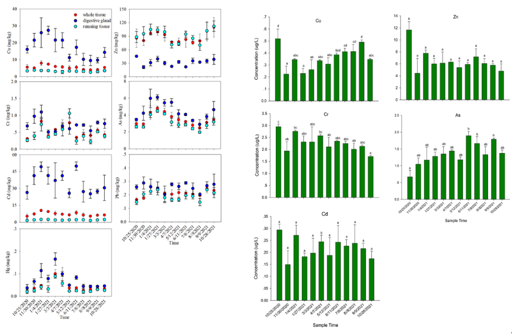
研究发现,扇贝对镉等重金属的富集具有明显的季节差异,与水体中重金属的含量相关性不显著,而与海水的理化性质密切相关。扇贝中镉的生物可利用性具有显著的组织差异性,最低为肾脏,最高为性腺。热加工能够降低内脏团、鳃、外套膜、肌肉中镉的生物可给性。除肌肉组织外,所有组织的消化液中均检出无机离子态镉,并且热加工能提高内脏团、鳃和性腺组织中无机镉离子的含量。因此对贝类中镉的食用健康风险评价不能仅基于贝类中镉的富集量,还需要考虑镉的生物可利用性以及加工方式等因素。
以上结果为科学评估扇贝中镉的食用安全及限量标准制修订提供了重要的科学支撑。

扇贝对重金属的蓄积规律

扇贝中镉的生物可利用性
该研究得到国家重点研发计划政府间国际科技合作创新专项、贝类产业技术体系和中国水产科学研究院创新团队等项目的资助。
文章链接:
https://doi.org/10.1016/j.foodchem.2022.134285
https://doi.org/10.1016/j.marpolbul.2022.114465