气候变化已成为国际社会普遍关心的重大全球性问题,海洋生态系统在气候变化背景下也正发生着巨大的变化,作为海洋生态系统生物主体的渔业资源也经历着不可逆转的演替。气候变化无论是在全球范围内还是区域性海域内都已成为制约渔业资源可持续利用的重要因素,考虑气候变化因子的渔业资源的适应性管理是解决这一问题的必要条件,而关于气候变化对中国近海这种区域性渔业资源变动潜在影响的评估尚未见报道。因此,科学认识气候变化对中国近海渔业生态系统的影响,对于从渔业资源角度采取正确、及时的应对气候变化策略具有重要意义,同时,也将从理论上推进近海渔业资源的适应性管理。
中国水产科学研究院黄海水产研究所渔业资源生态学团队围绕气候变化对渔业资源分布的潜在影响开展了系列研究,以黄渤海23种重要鱼类为研究对象,解析了其地理分布格局及主要环境驱动因子,揭示了不同鱼类分布对气候变化的差异性响应,预估了不同气候变化情景下其未来栖息地的潜在变化,相关研究成果以“Predicting current and future global distribution of black rockfish (Sebastes schlegelii) under changing climate”和“Ensemble projections of fish distribution in response to climate changes in the Yellow and Bohai Seas, China”为题在国际学术期刊Ecological Indicators发表。
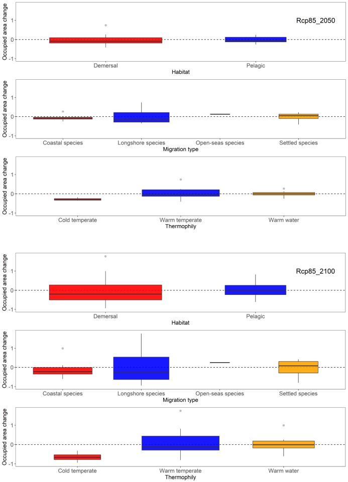
研究团队运用集合物种分布模型等技术手段,采用渔业资源调查和数据库数据相融合的方法,构建了黄渤海23种重要鱼类的资源-环境耦合模型,结果表明:(1)当前黄渤海重要鱼类物种数呈“渤海低,黄海高”的分布特点,热点区主要集中在朝鲜半岛沿岸西侧海域以及31.5°—33.5°、122.5°—125°E范围的黄海海域;(2)未来气候变化下,黄渤海重要鱼类地理分布存在明显的种间差异,栖息地面积减少的种类多于栖息地面积增加的种类;(3)从生态类型来看,底层鱼类的平均变化率高于中上层鱼类,沿岸型鱼类的变化率种间差异较大,而冷温性鱼类受到的影响高于暖温性和暖水性鱼类。相关研究结果解析了不同气候变化情景对黄渤海渔业种群分布格局的潜在影响,探讨了气候变化对资源结构的调控及其资源效应,提升了黄渤海渔业资源应对气候变化风险的灵活性,为全球变化背景下近海渔业资源的适应性管理提供科学基础。
黄海水产研究所助理研究员陈云龙博士为两篇论文的第一作者,金显仕研究员和单秀娟研究员分别为论文通讯作者。该研究得到了国家自然科学基金(31872692,42106116)和山东省支持青岛海洋科学与技术试点国家实验室重大科技专项(2018SDKJ0501)共同资助。

图1 Rcp8.5情景下黄渤海重要鱼类栖息地面积变化(2050年和2100年)

图2 Rcp8.5情景下黄渤海重要鱼类种类数空间分布预测(2050年和2100年)

图3 Rcp8.5情景下黄渤海不同生态类型鱼类栖息地面积变化(2050年和2100年)
相关成果及链接如下:
Yunlong Chen, Xiujuan Shan, Daniel Ovando, Tao Yang, Fangqun Dai, Xianshi Jin*. 2021. Predicting current and future global distribution of black rockfish (Sebastes schlegelii) under changing climate. Ecological Indicators, 128: 107799. https://doi.org/10.1016/j.ecolind.2021.107799.
Yunlong Chen, Xiujuan Shan*,Harry Gorfine, Fangqun Dai, Qiang Wu, Tao Yang, Yongqiang Shi, Xianshi Jin. 2023. Ensemble projections of fish distribution in response to climate changes in the Yellow and Bohai Seas, China. Ecological Indicators, 146: 109759. https://doi.org/10.1016/j.ecolind.2022.109759.